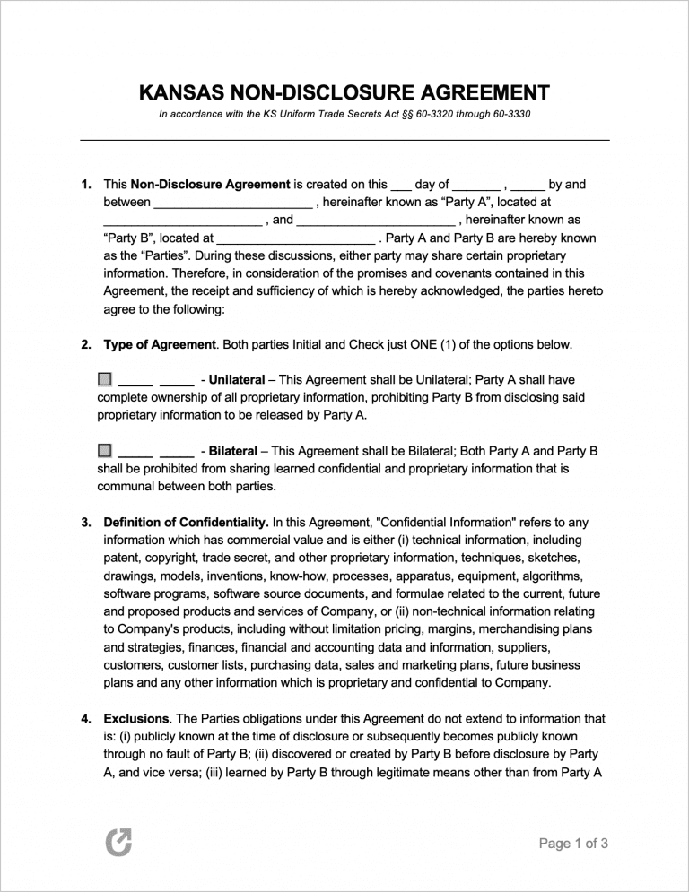
Kansas Non-Disclosure Agreement Template

Kansas Non-Disclosure Agreement Template

A Kansas non-disclosure agreement (NDA) carries the purpose of telling an individual or entity what info must be kept secret from third parties. The form is often found in employment settings, where a new hire will potentially have access to a company’s valuable processes, recipes, or finances, to name a few.

The contract can be made unilateral (one-way) or bilateral (two-way). The standard (and recommended use) is one-way, which involves only one party sharing information with the other.


Download
0 | 0 Ratings 2,972 Downloads Last updated February 18th, 2026

“Trade Secret” Definition

“Trade secret” means information, including a formula, pattern, compilation, program, device, method, technique, or process, that:

(i) derives independent economic value, actual or potential, from not being generally known to, and not being readily ascertainable by proper means by, other persons who can obtain economic value from its disclosure or use, and

(ii) is the subject of efforts that are reasonable under the circumstances to maintain its secrecy.[1]